What is Electret?
Electret is a counter term of magnet. A magnet is a ferrous material that possesses a quasi-permanent internal and external magnetic field. An electret is a dielectric material that possesses a quasi-permanent internal and external electric field.
There are natural electrets such as quartz and biomaterials. Artificial electrets are made by polarization, penetration of ion and electron beams, embedding of corona discharges, and triboelectrification from two materials.
Electret has a large variety of applications including transducers, electrostatic recorders, air filters, dosimeters, motors and generators, piezoelectric transducers, and pyroelectric response devices.
Electret for air filters is basically made by corona charging and by triboelectrification. Triboelectrification uses two kind of clean fibers having different levels of electronegative properties. When these two fibers rub against each other through the carding process, there is an electron transfer from the less electronegative fiber to the more electronegative one. Therefore, the former becomes positive due to the lack of electrons and the latter becomes negative due to the excess of electrons.
The simplest way to make electrets for air filters is the embedding of corona discharges resulting from a highly-intensified electric field, which is the ionization potential of the air, i.e., 3 MV/m at one atmosphere dry air. There are number of electrode configurations that can generate highly-intensified electric field, e. g., a high voltage applied to the pin-point of a needle above a grounded plate as shown in the Figure below:

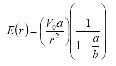
The electric field distribution from the pin-point toward the grounded plate can be expressed as

where V0 is the applied voltage, a is the radius of the pin point, b is the distance from the pin point to the grounded plate, and r is the radial distance from the pin point to the grounded plate. One can figure out the required voltage to obtain the ionization potential at a specified distance between the pin-point and the grounded plate.
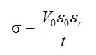
It is crucial that an electret retain the charges through the storage and service lives. The charge retention ability depends on the material properties as well as the charging methods and the charging parameters. There are several methods to characterize the charges in an electret. Among these is thermally stimulated discharge or depolarization (TSD), which is to measure the charge decay rate or depolarization rate at elevated temperatures. A capacity probe is used to measure the surface charge potential of an electret. The charge potential can be converted to surface charge density using the following equation

where s is the surface charge density, V0 is the surface charge potential, e0 is the permitivity in vacuum ( 8.854 * 10-12 F/m ), er is the relative permitivity (dielectric constant), and t is the thickness of the electret.