Wettability and Contact Angle Measurement of Filter Medium Using Modified Washburn’s Equation
Coalescence filtration using fibrous filters is a well-known approach for the separation of water-in-oil emulsions. Many factors have an effect on the performance of coalescing filters including fluid velocity, fiber geometry, surface properties, bed length etc. In liquid-liquid filtration, wettability of the filter media plays an important role in coalescence phenomena. It is known that, intermediate wettability gives best filter performance [1].
Wetting and non-wetting behavior of a solid material surface is generally characterized using contact angle. The direct approach of contact angle can not be used for characterizing the wettability of a filter medium. Instead, the liquid penetration approach is used to measure the contact angles of filter media treating the pores as a bundle of uniform capillaries. This method of the liquid penetration is based on the equilibrium capillary pressure and Washburn’s equation.
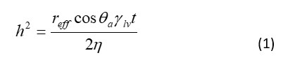
Washburn’s equation is based on the capillary driving force of a liquid that penetrates a compact vertical bed of particles with small pores and the viscous drag:

where
is viscosity of the penetration liquid,
the surface tension of the penetrating liquid,
the effective capillary radius,
the height of penetrating liquid in the bed in time t, and
is the advancing particle contact angle, measured through the liquid phase[2].
In filter media,
is very difficult to determine precisely and thus leads to significant error in the penetrating rates of liquid. To overcome shortcomings and errors prone to visual penetration rate, liquid weight gain measurements are used instead.
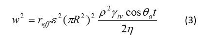
The weight, w, is related to the height in the capillary by

where
is the porosity of the packed filter column,
the density of the liquid, and
the inner radius of the capillary.
Finally when we combine equations 1 & 2 by substituting for
, we get

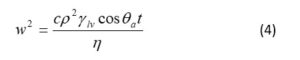
this gives a value

To determine the value of c=reffe2(pR2)2/2, one total wetting liquid must to be used for which the contact angle is assumed to be zero. From the measurement of slope
and knowing liquid characteristics the value of c is computed.
Once the contact angle is found for a total wetting liquid, it can be used for another liquid from the slope of the curve.

S is the measurement of the curve slope
[3].
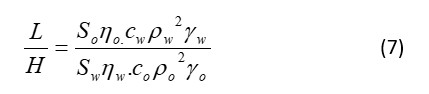
The contact angles of filter medium with oil and water be represented in terms of the L/H ratio

Using Eq.(5) to eliminate
from the equation we get

Both
and
are the same for a filter medium, thus L/H value reflects the wettability of the filter medium. The filter medium with lower L/H values can be considered as preferentially water-wetting and higher L/H values represents filter medium which is preferentially oil-wetting or non-wetting.
References
- Moorthy, C. G. Shin, B. Newby, G.G. Chase , “Effect of Wettability on liquid – liquid coalescence”, AFS Conference Ann Harbor, September 2005
- Washburn E.W, “The dynamics of capillary flow”, The American Physical Society, Vol. XVII No.3, 374- 375.
- Murata Toshiaki and Naka Akihiro, “A modified penetration rate for measuring the wettability of Coal Powders”, Journal of Japan Oil and Chemists Society, Vol 32 (9), 498-502, 1983.